Peneliti melainkan data yang berasal dari buku skripsi internet dan studi literatur lainnya. SKRIPSI STUDYLITERATUR SIDANGSKRIPSITONTON VIDEO LAIN NYA TENTANG SKRIPSI.
Doc Contoh Studi Literatur Muhammad Fadly Academia Edu
Penelitian Literature Review atau bisa disebut dengan studi pustaka adalah penelitian yang dilakukan hanya dengan kajian studi literatur atau kajian pustaka penelitian ini sering dianggap sederhana akan tetapi penelitian literatur review sebenarnya proses dalam proses penelitiannya tidak sesederhana itu setiap mahasiswa dan dosen dalam melakukan penelitian pasti akan melakukan literatur review misalnya ketika akan memualai memahami suatu topik penelitian baru mengikuti trend baru dan.

Skripsi studi literatur. Gambar ini diunggah pada Friday 15th of December 2017 035702 PM. 1010031802105 TeknikMetodaPendekatan No Tahun Sumber Judul Penulis Identifikasi Masalah Hasil Penelitian Selanjutnya yang digunakan 1. MUHAMMAD ANNAS NUR HASYIM ANAMUDZI NIM.
Sumber-sumber data apa yang tersedia. Skripsi di ITB Penelitian Lapangan Diganti Studi Literatur. Si MKes NIP.
Selain itu gambar ini juga memiliki berbagai ukuran. Gambar ini tersedia dalam format JPG PNG GIF. 1990226 201803 2001 Anggota Penguji.
Studi Dokumentasi Menurut Arikunto 2002206 Dokumentasi yaitu mencari data mengenai hal-hal atau variabel yang berupa catatan transkrip buku. Anda bisa mendownload atau mencetak gambar atau foto Contoh Karya Tulis Ilmiah Studi Literatur di bawah ini menggunakan printer. Sumber data diambil dari Academic search complete Google Scholar Repository Poltekkes Semarang Onesearch Proquest Researchgate dengan tahun terbit 2016 2020.
201210420311065 PROGRAM STUDI ILMU KEPERAWATAN FAKULTAS ILMU KESEHATAN UNIVERSITAS MUHAMMADIYAH MALANG 2019. Silahkan klik kanan dan simpan sebagai. Jurnal Pembuatan Tjatur - Mahasiswa harus Perancangan dan -.
Tinjauan Pustaka Filmia Utami Membangun Sistem Pengelolaan dan Pelayanan Skripsi Mahasiswa NPM. Pendidikan Virus Korona Pendidikan Tinggi. 201210420311039 PROGRAM STUDI ILMU KEPERAWATAN FAKULTAS ILMU KESEHATAN UNIVERSITAS MUHAMMADIYAH.
Ii STUDI LITERATUR FAKTOR FAKTOR YANG MEMPENGARUHI PERUBAHAN KONSEP DIRI ORANG YANG MENGALAMI TRAUMA LUKA BAKAR SKRIPSI Untuk Memenuhi Persyaratan Mencapai Derajat Sarjana Keperawatan SKep Pada Program Studi Ilmu Keperawatan Fakultas Ilmu Kesehatan. Menentukan rancangan serta pendekatan dalam melilih unit-unit dan teknik pengumpulan data mana yang di gunakan. 4 Nama program studi Program Studi Keperawatan.
Hasil literature review menunjukkan bahwa terdapat perbedaan pengetahuan dan sikap sebelum dan sesudah diberikan penyuluhan kesehatan menggunakan media audio. Penulisan skripsi diharapkan selesai dalam waktu enam bulan. 3 Nama peneliti dan NIM Nama kapital dan bold.
Bila melebihi batas waktu tersebut mahasiswa diharuskan melakukan pengajuan perpanjangan waktu sepengetahuan dosen pembimbing dan persetujuan Ketua. Blog Contohdhi memiliki banyak koleksi gambar seperti Contoh Karya Tulis Ilmiah Studi Literatur. Metode yang digunakan adalah literature review atau studi literatur.
Setelah melalui proses pemilihan literatur diperoleh 10 artikel yang sesuai dengan kriteria inklusi. Contoh skripsi studi literatur kesehatan. Muhammad Syahrul Ramadhan 03 April 2020 1435.
197002009 199802 2 001 IR - PERPUSTAKAAN UNIVERSITAS AIRLANGGA SKRIPSI STUDI LITERATUR REVIEW EKA WAHYUNI. HttpsbitlySEMUATENTANGSKRIPSIPada Video kali ini saya akan menjelaskan ba. Tentukan unit-unit studi sifat-sifat mana yang akan diteliti dan hubungan apa yang akan dikaji serta proses-proses apa yang akan menentukan penelitian.
1 Judul skripsi maksimal 20 kata. 5 Nama Fakultas Fakultas Ilmu Kesehatan UniversitasAisyiyah Yogyakarta. Organisasikan informasi serta data yang terkumpul dan analisis untuk.
Studi literatur Pada tahap ini peneliti mengumpulkan data-data melalui literatur-literatur yang berhubungan dengan penelitian ini. Institut Teknologi Bandung ITB memperbolehkan kegiatan laboratorium studio lapangan maupun industri sebagai salah satu syarat dan tahapan dalam tugas akhir diganti dengan studi. 6 Tahun akhir laporan penelitian.
Panitia penguji Skripsi. Astika Gita Ningrum MKeb NIP. Studi literatur ini dilakukan dengan membaca dan mempelajari buku jurnal maupun surat kabar yang berkaitan dengan topik penelitian.
Skripsi studi literatur pengaruh slow deep breathing sdb terhadap kadar gula darah pada penderita diabetes melitus tipe 2 fitria hamka po714201161027 kementrian kesehatan republik indonesia politeknik kesehatan makassar jurusan keperawatan makassar prodi div keperawatan makassar 2020. Dalam penulisan skripsi ini mahasiswa akan dibimbing oleh dosen pembimbing yang ditetapkan oleh Ketua Jurusan. Pengaruh Spiritual Emotional Freedom Technique terhadap Nyeri dan Kecemasan Klien Acute Myocardial InfarctionPoltekkes Kemenkes Semarang PrJurusan Keperawatan Politeknik Kesehatan KEMENKES Semarang2020Skripsi D IV.
Endyka Erye Frety MKeb NIP. Jika hanya ingin memperbesar silahkan klik gambarnya saja. Chism 2009Hubungan Perspektif Asuhan Spiritual Spiritual Care Mahasiswa Keperawatan dengan Ekspresi Empati Spiritual Mereka Di sisi lain penelitian juga melihat adanya hubungan antara sikap yang positif tentang spiritual care di praktik keperawatan dengan perbekalan tentang spiritual care.
2 Logo Universitas Aisyiyah Yogyakarta dibuat dengan diameter 55cm. Prosedur Pengumpulan Data Pada penelitian ini prosedur pengumpulan data meliputi. 19890220 201803 2001 2.
STUDI LITERATUR PENGARUH AKTIVITAS JALAN KAKI TERHADAP TINGKAT KEBUGARAN FISIK SKRIPSI Untuk Memenuhi Persyaratan Mencapai Derajat Sarjana Keperawatan SKep Pada Program Studi Ilmu Keperawatan Fakultas Ilmu Kesehatan Universitas Muhammadiyah Malang Oleh.
Konsep Pendidikan Anak Secara Islami Studi Literatur Terhadap Pemikiran Al Gazali Dan Abdullah Na?i? Ulwan Upi Repository
Pdf Studi Literatur Meningkatkan Kemampuan Berpikir Kreatif Dengan Pendekatan Pmr Matematis Siswa
Penjelasan Studi Literatur Skripsi Cute766
Studi Literatur Dan Hipotesis Ppt Download
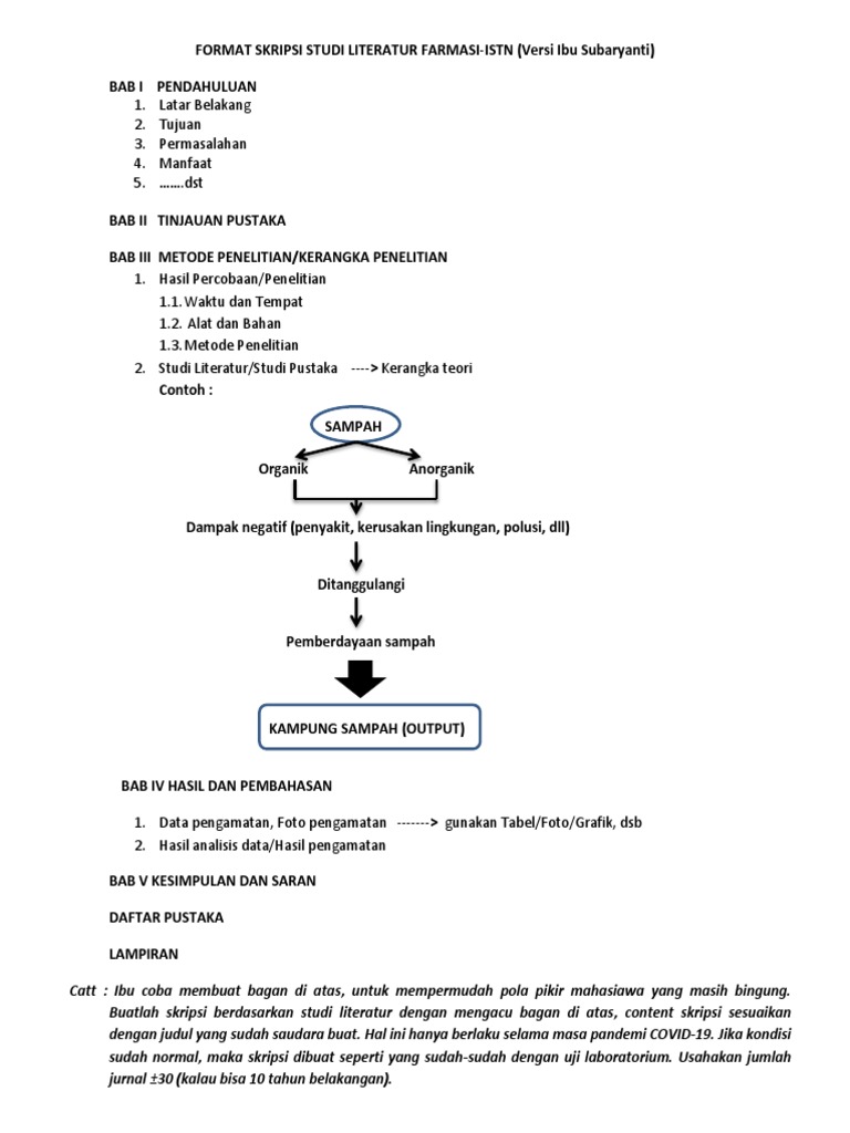
Fini Ormat Skripsi Studi Literatur Farmasi
Contoh Judul Skripsi Studi Literatur Youtube
Review Contoh Skripsi Studi Literatur Judul Skripsi Pengaruh Youtube
Pdf Studi Literatur Model Pembelajaran Berdasarkan Masalah Matematika
Studi Literatur Faktor Faktor Yang Mempengaruhi Perubahan Konsep Diri Orang Yang Mengalami Trauma Luka Bakar Umm Institutional Repository
Pdf Studi Literatur Analisis Gaya Kepemimpinan Dan Kepuasan Kerja Kepala Ruangan Di Rumah Sakit
Bab Iii Metode Penelitian 3 1 Metode
Tinjauan Literatur Skripsi Penyusunan Peraturan Zonasi
Http Eprints Umm Ac Id 52026 60 Pendahuluan Pdf
Studi Literatur Efek Samping Dan Interaksi Obat Pada Penderita Diabetes Melitus Tidak Tergantung Insulin Dengan Satu Penyakit Penyerta Di Instalasi Rawat Inap Rumah Sakit Dr Sardjito Yogyakarta Usd Repository
Studi Literatur Pembelajaran Kooperatif Dalam Mengatasi Kecemasan Matematika Dan Mengembangkan Self Efficacy Matematis Siswa Lumbung Pustaka Uny


Comments
Post a Comment